产品目录
大香蕉啪啪啪
液体流量计
香蕉视频APP下载网站
油流量计
香蕉视频三级
椭圆齿轮流量计
电磁流量计
涡街流量计
蒸汽流量计
孔板流量计
旋进旋涡流量计
热式气体质量流量计
转子流量计
浮子流量计
靶式流量计
气体流量计
超声波流量计
磁翻板液位计
浮子液位计
浮球液位计
玻璃管液位计
雷达液位计
超声波液位计
投入式液位计
压力变送器
差压变送器
液位变送器
温度变送器
热电偶
热电阻
双金属温度计
推荐产品
联系91香蕉在线视频
- 金湖91香蕉在线视频仪表有限公司
- 联系电话:15195518515
- 在线客服:1464856260
- 电话:0517-86801009
- 传真号码:0517-86801007
- 邮箱:1464856260@qq.com
- 网址:http://www.lafattehome.com
- 地址:江苏省金湖县理士大道61号
柴油流量计校验
发布时间:2021-03-13 06:42:41 点击次数:2633次
本规程适用于新制的、使用中和修理后的椭圆齿轮流量计(以下简称流量计)的检定。
一、技术要求
1.允许基本误差
流量计在规定流量范围(附录1)内的允许基本误差,以流经流量计液体实际是的百分数表示,程度为0.2级、0.5级的流量计其允许基本误差分则不超过±0.2%、±0.5%.
2.压力损失
流量计的压力损失,在*小流量时应不大于0. 2kgf/cm2;在*大流量时应小于1 kgf/cm2
3.重复性误差
在相同的试验条件下,流量计经多次测量(不少于三次),其示值的*大差值不应超过流量计允许基本误差绝对值之半.
二、检定条件
4.检定时的温度
4.1 标准温度为20℃.
4.2 每次检定时,液体温度应尽量保持一致.
4.3 检定流量计时,流量计和标准装置中液体的温度应修正到共同温度条件下.
5.检定时的试验液体
用标准装置检定流量计时,所用试验液体原则上应是流量计使用的工作液体或和流量计工作液体粘度相接近的液体。在必须采用粘度差异较大的液体时,应进行粘度修正.
6.检定用的标准装置和附属设备
6.1 标准装置
检定流量计的标准装置可在下列标准装置中选用:
a.标准体积管;
b.容积式液体流量标准装置;
c.质量式液体流量标准装置;
6.2 附属设备
a.数字计时计数器
b.*小分度值为0.1℃的温度计;
c.0.4级标准压力表;
d.二等标准密度计;
e.粘度计;
f.秒表.
三、检定项目
7.流量计的检定项目有
a.外观检查;
b.耐压试验;
c.基本误差检定;
d.重复性误差检定.
四、检定方法
8.流量计的外观检查
8.1 流量计应有名*,名*上应有下列标志:
a.制造厂名或厂标;
b.流量计名称和型号;
c.精度等级;
d.公称通径;
e.公称压力;
f.被测液体粘度(或液体名称);
g.被测液体温度;
h.出厂编号或制造年月。
8.2 流量计外壳应有指示被测液体流动方向的箭头.
8.3 流量计的读数装置应符合下列要求:
8.3.1 颜色:
流量计读数装置的颜色应符合表1规定。

8.3.2 度盘:
a.流量计度盘上应标志出*小分度值的单位;
b.流量计度盘上的字体应清晰美观;
c.流量计度盘上不应有擦伤、划痕、裂纹及其它影响读数和外观的缺陷.
8.3.3 指针
a.流量计的指针应作顺时针方向转动;
b.流量计指针与分度线重叠部分,应在*短分度线长度的1/3-2/3范围内,指针尖的宽度应不超过*短分度线宽度之半;
c.流量计指针与度盘的距离应为1.5-3mm。
8.3.4 玻璃:
流量计遮盖读数装置的玻璃或其它透明材料应透明,且不应有防碍正确读数的缺陷.
8.3.5 鼓轮计数器:
鼓轮计数器的转动应灵活、平稳,数字间距离应均等,高低一致,字形不得倾斜。
8.4 流量计的外壳应有均匀、牢固的涂层,且本允许采用红色涂料。
9.流量计的耐压试验
流量计外壳及密封等受压部分应使用试验液体进行试验,在承受试验压力为公称压力1.5倍,历时五分钟的试验过程中不应有渗漏现象.
10.流量计的基本误差检定
10.1 基本误差检定除必须满足规定的检定条件外,还应遵守下列要求:
a.流量计应无应力地安装在管道上,注意使液体流动方向与流量计上箭头指向相同;
b.安装时应使椭圆齿轮轴成水平位置;
c.试验管路系统中,应有过滤装置;
d.检定前应排除流量计及试验管路系统内的气体,一般应在流量计前安装消气器;
e.试验系统及其接合部位不应有漏液现象;
f.试验液体的流量应稳定.
10.2 基本误差的检定至少在三种不同流量(*大流量、30%*大流量和*小流量)下进行,每点重复测量不得少于三次,取误差算术平均值为该点的误差.
10.3 标准装置的累积量误差应小于流量计允许基本误差的1/3。
10.4 用标准体积管检定流量计

10.4.1 系统密封性试验
关闭流量计的进口阀、出口阀和标定阀及一切可能产生泄漏的阀门,然后将流量计进口阀到标定阀之间的这段密封系统加压,超过进口阀前压力5kgf/cm2,观察30分钟,压力下降少于2kgf/m2就认为密封性良好。
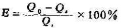
10.4.2 流量计的基本误差按下示计算:

式中:Ep-流量计的基本误差(%);
Q0-流量计的指示值(I);
Q-标准体积管的容积值(1);
F-实验液体的压缩系数;
Pp-标准体积管内的表压力(kgf/cm²)
P。-流量计处液体的压力(kgf/cm²);
Tp-液体通过标准体积管时的温度(℃);
T。-液体通过流量计时的温度(℃);
α-液体的膨胀系数(1/℃);
β-标准体积管的膨胀系数(1/℃);
k-标准体积管材质的压力系数

10.5 用容积式液体流量标准装置检定流量计

10.5.1 液体流量标准装置的容量按下述原则确定:
a.不应少于被检流量计度盘的满刻度值;
b.一般不应少于校验流量一分钟的输出量。
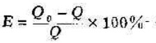
10.5.2 流量计的基本误差按下式计算:
Ep=E+Eα+Eβ
式中:
---流量计的误差(%);
---流量计的误差(%);
Eα=α(TQ-T。)×100%---流量计的温度附加误差(%);
Eα=β(20-TQ)×100%---标准容器的温度附加误差(%);
TQ=液体通过标准容器时的温度(℃)。
10.6 质量式液体流量标准装置检定流量计
10.6.1 标准秤的感量为1/5000.

10.6.2 流量计的基本误差按下式计算

式中:Wt-试验温度下流经流量计的液体的质量(kg);
dt-试验温度下流经流量计的液体的平均密度(kg/1);
P-空气密度0.00129g/cm³;
δ-标准秤砝码的密度(g/cm³)。
11.流量计重复性误差的检定
在相同的试验条件下,流量计经多次测量(不少于三次),其示值的*大差值不应超过流量计允许基本误差值之半。
12.压力损失试验
流量计的压力损失试验应在试验设备上观察差压计的压差。
五、检定结果的处理
13.检定合格的流量计、发给合格**。制造单位不允许调节的部位出厂时,由制造厂加以封印。
14、检定不合格的流量计,发给检定结果通知书。
15.流量计的检定周期根据使用情况确定,一般为半年。
附录
附录1


附录2
流量计的温度修正
当流量计被测介质的温度偏离校验温度时,在被测介质的物理性能(如粘度)变化较小时,按下式进行温度修正。
Et=Et1-κ(t-t1)
式中:Et-液体温度为t℃时校验的误差(%);
Et1-液体温度t1℃时校验的误差(%);
K-流量计计量室材质的温度修正系数(%。℃-1)。
附录3
流量计的粘度修正
1.以一种粘度液体试验,用和流量计流量、粘度无关的常数进行误差修正。

2.以两种粘度液体校验值进行误差修正

上述二式中:
E0--与流量、粘度无关的流量计的固有误差(%);
E1--用比实际使用液粘度大的试验液校验时的误差(%);
E2--用比实际使用液粘度小的试验液校验时的误差(%);
μ--实际使用液的粘度cP(mPa·s);
μ--比实际使用液粘度大的试验液的平均粘度cP(mPa·s);
μ2--比实际使用液粘度小的试验液的平均粘度cP(mP·s);
qm--流量计指针转一圈的指示值(1);
qth--椭圆齿轮排一圈的理论排出量(1);
λ--流量计减速齿轮比;
βg-流量计调整齿轮比。
附录4
用比较法检定流量计
0.5级流量计用精度为0.1级的标准流量计进行检定。
基本误差按下式计算

式中:Q。--标准流量计的指示值(1)。
上一篇:燃油流量计工作原理及使用下一篇:椭圆齿轮流量计的特点
相关资讯
- 柴油流量计结构和原理
- 柴油流量计校验
- 浅析柴油流量计在低流量条件下的粘度响应特性
- 柴油流量计厂家,3寸柴油流量表
- 防爆远传柴油计量表,柴油流量计量表价格
- 柴油流量计量表选型,柴油计量表厂家
- 智能柴油计量表,数显柴油计量表
- 二寸柴油计量表,智能柴油计量表
- 不锈钢柴油流量计,柴油流量计厂家
- 智能柴油流量计,柴油流量计量表
- 智能柴油流量计,柴油流量计厂家
- 智能柴油流量计,柴油管道流量计价格
- 船用柴油流量计,柴油流量计厂家
- 重柴油流量计,铸铝柴油流量计
- 粗柴油流量计,柴油流量计选型
- 不锈钢柴油流量计,数显柴油流量计
- 加油站柴油流量计,机械式柴油流量计
- dn40柴油流量计,油船柴油流量计量表
- dn80柴油流量计,柴油流量表厂家
- dn100柴油流量计,大流量柴油流量计量表
- dn150柴油流量计,高精度柴油流量计
- 航空柴油流量计,防爆柴油流量计厂家
- dn65柴油流量计,柴油流量计量仪
- 3寸柴油流量计量表,柴油油流量表
- dn50柴油流量计,数显柴油流量计
- 两寸柴油流量计,柴油流量计量表选型
- 管道柴油流量计,油船柴油流量计量表
- 不锈钢柴油流量计,加油站柴油流量计
- 生物柴油流量计,测量柴油流量用什么流量计
- dn100柴油流量计,测量柴油流量计

