产品目录
大香蕉啪啪啪
液体流量计
香蕉视频APP下载网站
油流量计
香蕉视频三级
椭圆齿轮流量计
电磁流量计
涡街流量计
蒸汽流量计
孔板流量计
旋进旋涡流量计
热式气体质量流量计
转子流量计
浮子流量计
靶式流量计
气体流量计
超声波流量计
磁翻板液位计
浮子液位计
浮球液位计
玻璃管液位计
雷达液位计
超声波液位计
投入式液位计
压力变送器
差压变送器
液位变送器
温度变送器
热电偶
热电阻
双金属温度计
推荐产品
联系91香蕉在线视频
- 金湖91香蕉在线视频仪表有限公司
- 联系电话:15195518515
- 在线客服:1464856260
- 电话:0517-86801009
- 传真号码:0517-86801007
- 邮箱:1464856260@qq.com
- 网址:http://www.lafattehome.com
- 地址:江苏省金湖县理士大道61号
涉及循环香蕉视频APP下载网站霍尔效应问题易错点的剖析
发布时间:2021-01-04 08:30:41 点击次数:2669次
摘要:介绍了学生学习霍尔效应中的几个易错点:不同电性载流子对循环香蕉视频APP下载网站霍尔电压的影响,现代科技中利用霍尔效应原理器材间的区别与联系等,通过剖析,理顺原理与关系。
涉及循环香蕉视频APP下载网站的霍尔效应的问题,是近几年高考物理命题的一个热点。由于它与现代科技应用联系紧密,是考查学生运用物理知识解决实际问题能力的好素材。但教学中发现,学生对循环香蕉视频APP下载网站的霍尔效应问题的理解存在一些误区,因而每当遇到此类问题时,常常错误百出,根据学生中存在的问题,可归纳为以下几种情况。易错点1:正、负载流子对霍尔电压的影响霍尔效应中,霍尔电压的正负与载流子的电性有关,不像金属导体,移动的只是电子,它有多种情形。
情形1:单种载流子。如图1所示,若载流子带正电荷,则载流子在洛伦兹力作用下会向下偏转,导体下表面积累正电荷。同时,上表面失去正电荷而带上负电,从而使下表面电势高于上表面。

反之,如图2所示,若载流子带负电荷,则载流子在洛伦兹力作用下会向下偏转,导体下表面积累负电荷。同时,上表面失去负电荷而带上正电,从而使上表面电势高于下表面。

可见,在磁场、电流方向相同的情况下,单种载流子电性相反,则上下表面的电势高低也相反。
情形2:正、负载流子反向运动。如图3所示,长方体玻璃水槽中盛有NaCl的水溶液,水槽左、右侧壁内侧各装一导体片,在溶液中通入水平向右的电流,匀强磁场B垂直纸面向外。NaCl溶液中既有正离子,又有负离子,根据左手定则可判断正离子受到向下的洛伦兹力,故向下运动并堆积。同理,负离子也受到指向下的洛伦兹力,也向下运动并堆积。由于正负离子均向下侧面堆积,故上下两侧面的电势均为零,但下侧面处离子浓度大于上侧面离子浓度。

情形3:正、负载流子同向运动。如图4所示,为了监测某化工厂的污水排放量,技术人员在排污管末端安装了流量计。上下两内侧面分别固定有金属板作为电*,污水充满管口从左向右流经该装置。污水向右流动,污水中既有正离子,又有负离子,在磁场的作用下,根据左手定则,正离子往下表面偏,负离子往上表面偏,故下表面的电势比上表面高。

情形2和情形3对比发现,同样有两种电性相反的载流子,由于运动方向不同,结果也完全不同。可见,在分析循环香蕉视频APP下载网站霍尔电压的问题时,*先应明确载流子的电性和运动方向,在此基础上才能正确判断其受力方向和偏转方向,进而确定电势的高低。
易错点2:磁强计、循环香蕉视频APP下载网站、磁流体发电机、霍尔元件间的区别与联系磁强计、循环香蕉视频APP下载网站、磁流体发电机、霍尔元件都是利用电磁场对带电粒子的偏转效应,并且稳定时电场力与磁场力均达到平衡。很多学生容易将其混淆,遇到问题常常搞不清原理,乱代公式,笔者特将4者涉及的公式及特点等做一对比区别如表1所示。

易错点3:两*板间的电场强度E=U/d中的U到底是电势差还是电动势?
粒子偏转后,若两*板间聚集等量的异种电荷,相当于一个电源,板间形成电场。稳定时,F电=F磁。若与外电路接通,计算板间场强大小时,其U指电势差还是电动势?此时F电和F磁还相等吗?以下题为例。

【例1】图5为磁流体发电机示意图。设两金属板间的距离为d,两*板间匀强磁场的磁感应强度为B。等离子体垂直进入磁场的速度为v,单个离子所带的电荷量为q。离子通道(即两*板内所围成的空间)的等效电阻为r,负载电阻为R。则下列判断正确的是( )
A。该发电机的电动势E=Bdv
B。电阻R两端的电压为Bdv
C。该发电机的输出功率为P=(B2d2v2)/R
D。两板间的电场强度E=Bv
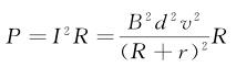
笔者发现,学生对选项A和B问题不大,根据平衡条件和部分电路欧姆定律即可得出A对,B错。C容易出错,疏忽了发电机的内电阻,发动机的输出功率:

选项D很纠结,究其原因,是对离子的受力情况和运动情况分析不透。
当外接电阻时,电荷在外电路中定向移动,板上电量减少,板间电压减小,电场减弱,F电<F磁。带电粒子朝着磁场力的方向偏转,此时有新电荷不断补充到两*板,形成一种动态平衡。由Eq<qvB可得,两板间的电势差U<Bdv,故电场强度E<Bv。选项D错。
可见,只有未接外电路时,两板间的电场强度E=Bv才成立。
通过以上归类、对比和总结,帮助学生理清不同电性载流子对霍尔电势差正负的影响,正确理解科技领域涉及循环香蕉视频APP下载网站霍尔效应的测量仪器的原理及相互联系,同时理清元件中涉及的各物理量间的关系,有助于学生更灵活地运用所学知识。
总之,在教学过程中善于发现、总结学生的易错点,并设计针对性的教学环节,引导学生进行分析与讨论,是提高课堂教学效率的有效途径之一。
涉及循环香蕉视频APP下载网站的霍尔效应的问题,是近几年高考物理命题的一个热点。由于它与现代科技应用联系紧密,是考查学生运用物理知识解决实际问题能力的好素材。但教学中发现,学生对循环香蕉视频APP下载网站的霍尔效应问题的理解存在一些误区,因而每当遇到此类问题时,常常错误百出,根据学生中存在的问题,可归纳为以下几种情况。易错点1:正、负载流子对霍尔电压的影响霍尔效应中,霍尔电压的正负与载流子的电性有关,不像金属导体,移动的只是电子,它有多种情形。
情形1:单种载流子。如图1所示,若载流子带正电荷,则载流子在洛伦兹力作用下会向下偏转,导体下表面积累正电荷。同时,上表面失去正电荷而带上负电,从而使下表面电势高于上表面。

反之,如图2所示,若载流子带负电荷,则载流子在洛伦兹力作用下会向下偏转,导体下表面积累负电荷。同时,上表面失去负电荷而带上正电,从而使上表面电势高于下表面。

可见,在磁场、电流方向相同的情况下,单种载流子电性相反,则上下表面的电势高低也相反。
情形2:正、负载流子反向运动。如图3所示,长方体玻璃水槽中盛有NaCl的水溶液,水槽左、右侧壁内侧各装一导体片,在溶液中通入水平向右的电流,匀强磁场B垂直纸面向外。NaCl溶液中既有正离子,又有负离子,根据左手定则可判断正离子受到向下的洛伦兹力,故向下运动并堆积。同理,负离子也受到指向下的洛伦兹力,也向下运动并堆积。由于正负离子均向下侧面堆积,故上下两侧面的电势均为零,但下侧面处离子浓度大于上侧面离子浓度。

情形3:正、负载流子同向运动。如图4所示,为了监测某化工厂的污水排放量,技术人员在排污管末端安装了流量计。上下两内侧面分别固定有金属板作为电*,污水充满管口从左向右流经该装置。污水向右流动,污水中既有正离子,又有负离子,在磁场的作用下,根据左手定则,正离子往下表面偏,负离子往上表面偏,故下表面的电势比上表面高。

情形2和情形3对比发现,同样有两种电性相反的载流子,由于运动方向不同,结果也完全不同。可见,在分析循环香蕉视频APP下载网站霍尔电压的问题时,*先应明确载流子的电性和运动方向,在此基础上才能正确判断其受力方向和偏转方向,进而确定电势的高低。
易错点2:磁强计、循环香蕉视频APP下载网站、磁流体发电机、霍尔元件间的区别与联系磁强计、循环香蕉视频APP下载网站、磁流体发电机、霍尔元件都是利用电磁场对带电粒子的偏转效应,并且稳定时电场力与磁场力均达到平衡。很多学生容易将其混淆,遇到问题常常搞不清原理,乱代公式,笔者特将4者涉及的公式及特点等做一对比区别如表1所示。

易错点3:两*板间的电场强度E=U/d中的U到底是电势差还是电动势?
粒子偏转后,若两*板间聚集等量的异种电荷,相当于一个电源,板间形成电场。稳定时,F电=F磁。若与外电路接通,计算板间场强大小时,其U指电势差还是电动势?此时F电和F磁还相等吗?以下题为例。

【例1】图5为磁流体发电机示意图。设两金属板间的距离为d,两*板间匀强磁场的磁感应强度为B。等离子体垂直进入磁场的速度为v,单个离子所带的电荷量为q。离子通道(即两*板内所围成的空间)的等效电阻为r,负载电阻为R。则下列判断正确的是( )
A。该发电机的电动势E=Bdv
B。电阻R两端的电压为Bdv
C。该发电机的输出功率为P=(B2d2v2)/R
D。两板间的电场强度E=Bv
笔者发现,学生对选项A和B问题不大,根据平衡条件和部分电路欧姆定律即可得出A对,B错。C容易出错,疏忽了发电机的内电阻,发动机的输出功率:

选项D很纠结,究其原因,是对离子的受力情况和运动情况分析不透。
当外接电阻时,电荷在外电路中定向移动,板上电量减少,板间电压减小,电场减弱,F电<F磁。带电粒子朝着磁场力的方向偏转,此时有新电荷不断补充到两*板,形成一种动态平衡。由Eq<qvB可得,两板间的电势差U<Bdv,故电场强度E<Bv。选项D错。
可见,只有未接外电路时,两板间的电场强度E=Bv才成立。
通过以上归类、对比和总结,帮助学生理清不同电性载流子对霍尔电势差正负的影响,正确理解科技领域涉及循环香蕉视频APP下载网站霍尔效应的测量仪器的原理及相互联系,同时理清元件中涉及的各物理量间的关系,有助于学生更灵活地运用所学知识。
总之,在教学过程中善于发现、总结学生的易错点,并设计针对性的教学环节,引导学生进行分析与讨论,是提高课堂教学效率的有效途径之一。

