91香蕉在线视频,大香蕉啪啪啪,香蕉视频三级,香蕉视频APP下载网站

    欢迎光临金湖91香蕉在线视频仪表有限公司!本公司主营:涡轮流量计,电磁流量计,涡街流量计,孔板流量计,金属管浮子流量计,磁翻板液位计等仪器仪表,联系热线:15195518515

    金湖91香蕉在线视频仪表有限公司LOGO

    金湖91香蕉在线视频仪表有限公司

    品质保证,服务周到,仪器仪表供应商

    --24小时服务热线--15195518515
    当前位置:*页>>新闻资讯>>探究矿泉香蕉视频APP下载网站在人造丝生产中的应用

    探究矿泉香蕉视频APP下载网站在人造丝生产中的应用

    发布时间:2021-01-04 08:34:18  点击次数:2294次
    我厂年产3000吨人造长丝。原设计粘胶年时间运行,收到了较好的效果。计量为椭圆齿轮流量计。由于压力损失过大。
    矿泉香蕉视频APP下载网站是利用电磁感应原理制成的在投产没多久就取掉了。现91香蕉在线视频选用了开封流量计。压力损失小。不易堵塞。输出信号仪表厂生产的Dmag型矿泉香蕉视频APP下载网站二经一仅与流体平均流速有关。与粘度、密度、温度等无关,测量精度高。现将我厂所用流量计介绍如下:
    一、矿泉香蕉视频APP下载网站的选型:粘胶粘度为4aP·5。比重为L12。班道过滤后的粘胶经DglOO的管道送人纺丝,该流量计安装于过滤后的送胶管路上。
    1.变送器口径的选择:
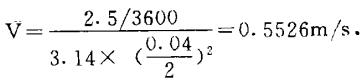
    矿泉香蕉视频APP下载网站要求流体流速在。5米/秒以上。我厂粘胶长丝年产量在3000吨左右,南北纺区粘胶瞬时流量为2.5m3h/。若选择通径DN为40毫米的流量计。平均流速满足要求。

    2.考虑粘胶具有一定腐蚀性和长期稳定运行的需要。衬里材料选择聚四氟乙烯·电*材料选择哈氏合金B。
    3.选择分离型,配数字型转换器。
    二、矿泉香蕉视频APP下载网站的安装:
    1.未加旁路。流量计直接安装于主管路上。
    因传感器部分主要由测量导管、电*、励磁线圈、铁芯等组成,该部分不易出故障。若接于旁路管上。粘胶在一定时间内会凝固。操作工每天需定时开启阀1.会带来:①粘胶计量不准确。②操作会更麻烦。
    2.变送器在安装时,传感器上游侧至少应有5倍管径长度的直管段,传感器下游侧应有2倍管径长度的直管段。直管段后*好为渐缩管,其圆锥角不应大于15。
    3.为了提高整个系统的抗干扰能力。变送器与转换器间需用屏蔽电缆连接,信号电缆两边的外露部分需保持*短。该电缆必须远离动力电缆。
    4.流量计测量导管的金属管体和粘胶应同为地电位、接地系统的接地电阻应小于10n。
    三、矿泉香蕉视频APP下载网站的投运:

    四、运行情况:
    两台矿泉香蕉视频APP下载网站已运行了一年时间,运转良好。误差在允许范围以内。该数字转换器具有瞬时流量显示和累积流量显示。不仅给总厂成本核算提供了一个准确的数据,也给脱泡间操作工带来了很大的方便。流量计投人运行没多久的一天中午,北纺的瞬时流量达到4.17m,h/。原计划纺3个小时的粘胶.现1.5个小时就会纺完,有了该表的准确显示。未造成纺丝断头的重大事故。
    网站地图