产品目录
大香蕉啪啪啪
液体流量计
香蕉视频APP下载网站
油流量计
香蕉视频三级
椭圆齿轮流量计
电磁流量计
涡街流量计
蒸汽流量计
孔板流量计
旋进旋涡流量计
热式气体质量流量计
转子流量计
浮子流量计
靶式流量计
气体流量计
超声波流量计
磁翻板液位计
浮子液位计
浮球液位计
玻璃管液位计
雷达液位计
超声波液位计
投入式液位计
压力变送器
差压变送器
液位变送器
温度变送器
热电偶
热电阻
双金属温度计
推荐产品
联系91香蕉在线视频
- 金湖91香蕉在线视频仪表有限公司
- 联系电话:15195518515
- 在线客服:1464856260
- 电话:0517-86801009
- 传真号码:0517-86801007
- 邮箱:1464856260@qq.com
- 网址:http://www.lafattehome.com
- 地址:江苏省金湖县理士大道61号
氟利昂加液流量计在不同黏度介质中试验
发布时间:2020-09-02 01:24:48 点击次数:2721次
摘要:文章介绍了氟利昂加液流量计的工作原理及特点,利用现有燃油流量标准及滑油流量标准,分别对三台不同口径(Ф40mm,Ф25mm,Ф15mm)氟利昂加液流量计进行了性能测试,并对测试结果进行了简要分析。测试主要依据JJG1037—2008《氟利昂加液流量计检定规程》进行,测试结果表明黏度对氟利昂加液流量计性能有较大影响。
随着科学技术的进步以及**对能源、环境的重视,流量计量的地位更加突出,相关技术也取得了很大的进步,如多种新型流量计不断投入使用,传统流量计技术得到改进、精度更高等。各种在线计量、国际比对、实流测试等已成为当今流量计量发展的主要方向。工业实际应用中流量的准确计量需要高准确度的流量计来保证,更需要对流量计量仪表的正确使用来保证。依据实际需要,国防科技工业4113二级计量站先后建立了燃油流量标准装置、液压油流量标准装置和滑油流量标准装置。在现有条件下,91香蕉在线视频对氟利昂加液流量计在燃油和滑油两种黏度相差较大的液体中进行了性能测试和比较,以期对广大流量计研发人员有所指导,对流量计使用人员有所启发。
1氟利昂加液流量计
氟利昂加液流量计是一种速度式流量仪表,主要依据动量矩守恒原理。其基本结构如图1所示,主要由传感器1,变送器2及二次仪表3组成。工作时,液体通过流量计内腔,对叶片产生冲击而使涡轮旋转,涡轮旋转速度随流量大小变化而变化,通过涡轮的转速得到液体介质的流量。氟利昂加液流量计具有结构简单,体积、质量小,精度高等特点,所以在工业实际中应用*为广泛。
2试验标准及测试仪表
2.1试验标准
此次比对试验所使用装置为我单位所拥有的两台液体流量标准装置,各自技术指标如下。

(1)航空燃油流量标准:试验介质为RP-3航空燃油;流量范围为0.04~100m3/h;不确定度为0.05%(k=2,k为包含因子);装置采用动态质量法;变温范围为常温~50℃;温控精度为±1℃。
(2)航空润滑油流量标准:试验介质为4050航空润滑油;流量范围为0.1~80m3/h;不确定度为0.05%(k=2);装置采用静态质量法;变温范围为-35~150℃;温控精度为±1℃。
2.2测试仪表
此次试验测试所用流量仪表为我单位所使用标准流量计,共3台,其主要参数如下。
(1)Φ40流量计。型号规格为LWGY-40;流量范围为3~30m3/h;出厂等级为0.5级。(2)Φ25流量计。型号规格为LWGY-25;流量范围为1.2~12m3/h;出厂等级为0.5级。
(3)Φ15流量计。型号规格为LWGY-15;流量范围为0.6~4m3/h;出厂等级为0.5级。
3试验测试
3.1测试依据
对单个流量计的测试主要依据JJG1037—2008《氟利昂加液流量计检定规程》。其中主要参数及计算方法如下:

式中:Kij为*i检定点*j次检定的仪表系数,L-1或(m3)-1,其中,i=1,2,3,…,m,m为检定点数,m≥3,j=1,2,3,…,n,n为检定次数,n≥3;Nij为*i检定点*j次检定时流量计显示仪表测得的脉冲数;Vij为*i检定点*j次检定时标准装置测得的实际流量,L或m3。

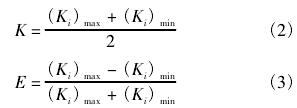
式中:K为流量计的仪表系数,L-1或(m3)-1;E为流量计的仪表*大示值误差,L-1或(m3)-1;(Ki)max为流量计所有检定点中所得到的Ki中的*大值,L-1或(m3)-1;(Ki)min为流量计所有检定点中所得到的Ki中的*小值,L-1或(m3)-1。
3.2测试结果
依据以上方法对所选流量计进行测试,具体情况如下。
3.2.1Φ40流量计测试条件及结果
(1)滑油测试条件。环境温度:24.5℃;大气压力:100610Pa;湿度:27.8%;介质黏度:31.63cSt(1cSt=10-6m2/s,余同)。
(2)燃油测试条件。环境温度:12.8℃;大气压力:101210Pa;湿度:30.3%;介质黏度:1.62cSt。
Φ40流量计测试数据如表1所示。

依据表1测试数据,经计算可得,Φ40流量计在滑油及燃油中测试结果如表2所示,测试线形图如图2所示。

3.2.2Φ25流量计测试条件及结果
(1)滑油测试条件。环境温度:24.9℃;大气压力:100560Pa;湿度:30.3%;介质黏度:35.41cSt。
(2)燃油测试条件。环境温度:25.61℃;大气压力:100760Pa;湿度:19.7%;介质黏度:1.47cSt。
Φ25流量计测试数据如表3所示。
依据表3测试数据,经计算可得,Φ25流量计在滑油及燃油中测试结果如表4所示,测试线形图如图3所示。


3.2.3Φ15流量计测试条件及结果
(1)滑油测试条件。环境温度:24.8℃;大气压力:100570Pa;湿度:29.3%;介质黏度:37.83cSt。
(2)燃油测试条件。环境温度:19.26℃;大气压力:100850Pa;湿度:25.9%;介质黏度:1.5cSt。

Φ15流量计测试数据如表5所示。

依据表5测试数据,经计算可得,Φ15流量计在滑油及燃油中测试结果如表6所示,测试线性图如图4所示。

4结论
从测试结果数据分析可知:
(1)氟利昂加液流量计在两种不同黏度液体介质中系数不同。
(2)氟利昂加液流量计在两种黏度介质中线性差别较大,且在高黏度液体介质中线性较差。
(3)氟利昂加液流量计在两种不同黏度液体介质中重复性都较好
随着科学技术的进步以及**对能源、环境的重视,流量计量的地位更加突出,相关技术也取得了很大的进步,如多种新型流量计不断投入使用,传统流量计技术得到改进、精度更高等。各种在线计量、国际比对、实流测试等已成为当今流量计量发展的主要方向。工业实际应用中流量的准确计量需要高准确度的流量计来保证,更需要对流量计量仪表的正确使用来保证。依据实际需要,国防科技工业4113二级计量站先后建立了燃油流量标准装置、液压油流量标准装置和滑油流量标准装置。在现有条件下,91香蕉在线视频对氟利昂加液流量计在燃油和滑油两种黏度相差较大的液体中进行了性能测试和比较,以期对广大流量计研发人员有所指导,对流量计使用人员有所启发。
1氟利昂加液流量计
氟利昂加液流量计是一种速度式流量仪表,主要依据动量矩守恒原理。其基本结构如图1所示,主要由传感器1,变送器2及二次仪表3组成。工作时,液体通过流量计内腔,对叶片产生冲击而使涡轮旋转,涡轮旋转速度随流量大小变化而变化,通过涡轮的转速得到液体介质的流量。氟利昂加液流量计具有结构简单,体积、质量小,精度高等特点,所以在工业实际中应用*为广泛。
2试验标准及测试仪表
2.1试验标准
此次比对试验所使用装置为我单位所拥有的两台液体流量标准装置,各自技术指标如下。

(1)航空燃油流量标准:试验介质为RP-3航空燃油;流量范围为0.04~100m3/h;不确定度为0.05%(k=2,k为包含因子);装置采用动态质量法;变温范围为常温~50℃;温控精度为±1℃。
(2)航空润滑油流量标准:试验介质为4050航空润滑油;流量范围为0.1~80m3/h;不确定度为0.05%(k=2);装置采用静态质量法;变温范围为-35~150℃;温控精度为±1℃。
2.2测试仪表
此次试验测试所用流量仪表为我单位所使用标准流量计,共3台,其主要参数如下。
(1)Φ40流量计。型号规格为LWGY-40;流量范围为3~30m3/h;出厂等级为0.5级。(2)Φ25流量计。型号规格为LWGY-25;流量范围为1.2~12m3/h;出厂等级为0.5级。
(3)Φ15流量计。型号规格为LWGY-15;流量范围为0.6~4m3/h;出厂等级为0.5级。
3试验测试
3.1测试依据
对单个流量计的测试主要依据JJG1037—2008《氟利昂加液流量计检定规程》。其中主要参数及计算方法如下:

式中:Kij为*i检定点*j次检定的仪表系数,L-1或(m3)-1,其中,i=1,2,3,…,m,m为检定点数,m≥3,j=1,2,3,…,n,n为检定次数,n≥3;Nij为*i检定点*j次检定时流量计显示仪表测得的脉冲数;Vij为*i检定点*j次检定时标准装置测得的实际流量,L或m3。

式中:K为流量计的仪表系数,L-1或(m3)-1;E为流量计的仪表*大示值误差,L-1或(m3)-1;(Ki)max为流量计所有检定点中所得到的Ki中的*大值,L-1或(m3)-1;(Ki)min为流量计所有检定点中所得到的Ki中的*小值,L-1或(m3)-1。
3.2测试结果
依据以上方法对所选流量计进行测试,具体情况如下。
3.2.1Φ40流量计测试条件及结果
(1)滑油测试条件。环境温度:24.5℃;大气压力:100610Pa;湿度:27.8%;介质黏度:31.63cSt(1cSt=10-6m2/s,余同)。
(2)燃油测试条件。环境温度:12.8℃;大气压力:101210Pa;湿度:30.3%;介质黏度:1.62cSt。
Φ40流量计测试数据如表1所示。

依据表1测试数据,经计算可得,Φ40流量计在滑油及燃油中测试结果如表2所示,测试线形图如图2所示。

3.2.2Φ25流量计测试条件及结果
(1)滑油测试条件。环境温度:24.9℃;大气压力:100560Pa;湿度:30.3%;介质黏度:35.41cSt。
(2)燃油测试条件。环境温度:25.61℃;大气压力:100760Pa;湿度:19.7%;介质黏度:1.47cSt。
Φ25流量计测试数据如表3所示。
依据表3测试数据,经计算可得,Φ25流量计在滑油及燃油中测试结果如表4所示,测试线形图如图3所示。


3.2.3Φ15流量计测试条件及结果
(1)滑油测试条件。环境温度:24.8℃;大气压力:100570Pa;湿度:29.3%;介质黏度:37.83cSt。
(2)燃油测试条件。环境温度:19.26℃;大气压力:100850Pa;湿度:25.9%;介质黏度:1.5cSt。

Φ15流量计测试数据如表5所示。

依据表5测试数据,经计算可得,Φ15流量计在滑油及燃油中测试结果如表6所示,测试线性图如图4所示。

4结论
从测试结果数据分析可知:
(1)氟利昂加液流量计在两种不同黏度液体介质中系数不同。
(2)氟利昂加液流量计在两种黏度介质中线性差别较大,且在高黏度液体介质中线性较差。
(3)氟利昂加液流量计在两种不同黏度液体介质中重复性都较好

